Exercicios Orações Subordinadas Adjetivas Com Gabarito

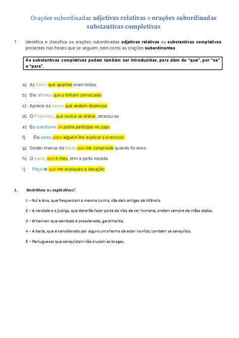
O material didático que engloba exercícios focados em frases nas quais uma oração subordinada atua como um adjetivo, acompanhados de suas respectivas respostas, auxilia na compreensão e aplicação das regras gramaticais pertinentes a esse tipo de construção frasal. Esse tipo de recurso pedagógico geralmente apresenta frases complexas onde uma oração, introduzida por um pronome relativo (que, quem, qual, cujo), modifica ou qualifica um termo antecedente. Exemplo: O livro que comprei é interessante. (A oração "que comprei" qualifica o substantivo "livro").

A prática com esse tipo de exercício é fundamental para o desenvolvimento da habilidade de identificar e classificar as orações subordinadas adjetivas, distinguindo-as de outros tipos de orações subordinadas. Esse domínio gramatical é crucial para uma comunicação escrita mais precisa e elegante, além de ser frequentemente cobrado em exames vestibulares e concursos públicos. Historicamente, o estudo da sintaxe da oração tem sido um pilar no ensino da língua portuguesa, visando aprofundar a compreensão da estrutura frasal e suas nuances de sentido.

A seguir, serão abordados os principais aspectos relacionados à identificação e classificação das orações subordinadas adjetivas, juntamente com exemplos práticos e dicas para a resolução eficaz dos exercícios propostos.

Exercicios Orações Subordinadas Adjetivas Com Gabarito

Exercícios Orações Subordinadas Adjetivas Com Gabarito - BRAINCP

Esta seção apresenta respostas para algumas das perguntas mais comuns relacionadas ao estudo e à prática das orações subordinadas adjetivas, utilizando exercícios com gabarito.

Pergunta 1: O que define uma oração subordinada adjetiva?

Uma oração subordinada adjetiva é aquela que desempenha a função de um adjetivo, modificando um substantivo ou pronome presente na oração principal. Ela é introduzida por um pronome relativo.

Pergunta 2: Quais são os pronomes relativos mais comuns que introduzem orações subordinadas adjetivas?

Os pronomes relativos mais comuns são: que, quem, qual, cujo (e suas variações) e onde (quando se refere a lugar).

Pergunta 3: Qual a diferença entre oração subordinada adjetiva restritiva e explicativa?

A oração subordinada adjetiva restritiva especifica ou restringe o sentido do termo antecedente, sendo essencial para a compreensão da frase. Não é separada por vírgulas. Já a oração subordinada adjetiva explicativa acrescenta uma informação acessória sobre o termo antecedente, que já possui sentido completo. É separada por vírgulas.

For more information, click the button below.

Exercicios Orações Subordinadas Adjetivas Com Gabarito
Exercícios Orações Subordinadas Substantivas Com Gabarito - ROAREDU
Exercicios Orações Subordinadas Adjetivas Com Gabarito
Exercícios Orações Subordinadas Substantivas Com Gabarito - BRAINCP
Exercicios Orações Subordinadas Adjetivas Com Gabarito
Exercicios orações subordinadas adjetivas - Orações subordinadas ...
Exercicios Orações Subordinadas Adjetivas Com Gabarito
Orações Subordinadas Adjetivas e Adverbiais - Gabarito - Agostinet

-

Pergunta 4: Como identificar uma oração subordinada adjetiva em um exercício?

Procure por orações iniciadas por pronomes relativos que se referem a um termo anterior. Verifique se essa oração pode ser substituída por um adjetivo sem alterar o sentido fundamental da frase.

Pergunta 5: Qual a importância de praticar com exercícios que oferecem gabarito?

O gabarito permite a verificação imediata da correção das respostas, possibilitando a identificação de erros e a consolidação do aprendizado. Facilita a compreensão das regras gramaticais aplicadas em cada caso.

Pergunta 6: Em que contextos o conhecimento sobre orações subordinadas adjetivas é relevante?

O domínio desse conteúdo é importante para a produção textual de qualidade, para a interpretação de textos complexos e para o desempenho em exames de avaliação, como vestibulares e concursos.

Em resumo, o estudo das orações subordinadas adjetivas, auxiliado por exercícios com gabarito, proporciona um aprofundamento no conhecimento da sintaxe da língua portuguesa, resultando em uma melhor capacidade de comunicação e interpretação textual.

A próxima seção abordará estratégias para a resolução eficaz de exercícios sobre orações subordinadas adjetivas.

Esta seção oferece orientações específicas para abordar e resolver com sucesso exercícios focados em orações subordinadas adjetivas, maximizando o aproveitamento do material didático que inclui as respostas.

Dica 1: Identifique o Pronome Relativo. O primeiro passo é localizar o pronome relativo que introduz a oração subordinada (que, quem, qual, cujo, onde). Este pronome estabelece a ligação entre a oração subordinada e o termo antecedente na oração principal. Exemplo: "A casa que comprei é espaçosa." (pronome relativo: que; termo antecedente: casa)

Dica 2: Determine o Termo Antecedente. O termo antecedente é o substantivo ou pronome ao qual o pronome relativo se refere e que a oração subordinada adjetiva modifica. A identificação correta do termo antecedente é fundamental para a análise sintática. Exemplo: "O aluno que estudou foi aprovado." (termo antecedente: aluno)

Dica 3: Verifique a Função Adjetiva. Para confirmar que a oração é realmente subordinada adjetiva, procure substituir a oração inteira por um adjetivo. Se a substituição for semanticamente válida, a oração é adjetiva. Exemplo: "O carro que é novo é caro." (substituição: O carro novo é caro.)

Dica 4: Diferencie Restritivas de Explicativas. Observe a presença ou ausência de vírgulas. Orações restritivas (sem vírgulas) restringem ou especificam o sentido do termo antecedente, enquanto orações explicativas (entre vírgulas) adicionam uma informação acessória. Exemplo restritiva: "Os alunos que estudam são aprovados." Exemplo explicativa: "Os alunos, que são estudiosos, são aprovados."

Dica 5: Analise a Concordância. Certifique-se de que o pronome relativo e o verbo da oração subordinada concordam em gênero e número com o termo antecedente. A concordância correta é essencial para a correção gramatical da frase. Exemplo: "As alunas que se dedicaram foram premiadas."

Dica 6: Utilize o Gabarito Estrategicamente. Ao encontrar dificuldades, recorra ao gabarito para entender a lógica da resposta correta. Analise a justificativa gramatical apresentada e identifique seus pontos de dúvida. Não se limite a verificar se acertou ou errou, busque compreender o porquê.

Dica 7: Consulte Materiais de Apoio. Em caso de dúvidas persistentes, consulte gramáticas, livros de sintaxe ou recursos online confiáveis. Aprofunde seus conhecimentos teóricos para fortalecer sua capacidade de análise frasal.

Ao seguir estas dicas, o estudo de orações subordinadas adjetivas se tornará mais eficiente e o aproveitamento dos exercícios com gabarito será maximizado, contribuindo para um melhor desempenho em avaliações e para o domínio da norma culta da língua.

Na seção final, serão apresentadas considerações finais sobre a importância do estudo das orações subordinadas adjetivas e sugestões para aprofundar seus conhecimentos.

A análise e prática com exercícios de orações subordinadas adjetivas, complementados por gabaritos, representam uma ferramenta essencial no processo de aprimoramento da competência linguística. A habilidade de identificar, classificar e empregar corretamente essas estruturas sintáticas impacta diretamente na clareza, precisão e sofisticação da comunicação escrita. Dominar esse aspecto da gramática normativa contribui para a construção de textos mais coesos e coerentes, bem como para uma leitura mais crítica e interpretativa.

O investimento contínuo na prática com exercícios e na consulta de materiais de referência permitirá a consolidação do conhecimento sobre as orações subordinadas adjetivas, propiciando um maior domínio da língua portuguesa e abrindo portas para o sucesso acadêmico e profissional. A familiaridade com a estrutura frasal complexa, exemplificada pelas orações subordinadas adjetivas, é um diferencial importante para quem busca se destacar na comunicação e no pensamento crítico.